Contracts
Recruitment & Labour Hire Agreements
Fixed-fee legal help from Australia's top-rated online law firm, with expert lawyers guiding you every step of the way.
100,000+ businesses helped
Get a free quote
We'll get back to you


What's included
Formalise recruitment or labour hire arrangements with a tailored agreement.
Our recruitment and labour hire agreement service ensures your contracts are clear and compliant. Protect your business and streamline your hiring.
- Phone/Video Consultation
- Document (Word/PDF Format)
- Complimentary Amendment
Project
Recruitment & Labour Hire Agreement
Status
CompletePrepared by
Alex Solo
Senior Lawyer

FAQs
Frequently asked questions
Unsure about how we work? We have gathered the most common questions for your convenience.
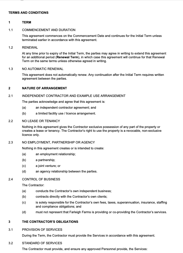
A Recruitment & Labour Hire Agreement is important if you're a recruitment business that also provides labour hire services. It sets out key details of your arrangement with clients, including payment structure, the rights and responsibilities of the labour hire organisations, anti-circumvention, liability, indemnities and more.
Our lawyers can also draft a Candidate Agreement, which sets out your obligations to candidates and gives you appropriate rights to provide their details to potential employers.
Labour hire is when a company works with a labour hire agency to hire new employees. Instead of hiring and interviewing candidates directly, the company enters into an agreement with a separate labour hire agency to manage the hiring process.
This can make things easier for companies that do not have the time to handle recruitment themselves. However, it also involves multiple parties, so it’s important to have your business arrangements in writing in case anything goes wrong. Our lawyers can help, so get in touch for a consultation.
Our package starts from $1,900 + GST and includes:
- Drafting a Recruitment & Hire Labour Agreement in line with your business requirements
- Drafting a Candidate Agreement tailored to your business needs
- Phone consultations with a Sprintlaw lawyer who can answer your legal questions
- 1 complimentary amendment to the final draft we provide
We handle everything by phone, email and video call, so you never need to visit an office. Once you request a quote, one of our legally trained consultants will get back to you within one business day with a fixed-fee proposal. If you accept, we will pair you with a specialist lawyer who will guide you through the process. All documents are delivered digitally, and you can communicate with your lawyer in the way that suits you best. It is the same quality legal advice you would get from a traditional firm, just without the commute, hourly billing surprises or the formality.
Yes. We're an online law firm, so you can avoid the hassle of hourly billing and finding time to meet a lawyer in person. We communicate by phone, email and video chat, whichever suits you best.
You'll be guided through the process by our expert lawyers, who are Australian-qualified and trained at leading law firms. Our lawyers specialise in technology, intellectual property, contract drafting, corporate and commercial law.
From quote to delivery in three simple steps
Getting quality legal help for your business has never been easier or more affordable.
Get a free quote
Our legally trained consultants will prepare a fixed-fee quote for you.
Accept online
Accept your fixed-fee quote and e-sign our engagement letter.
Speak with a lawyer
Our expert lawyers will talk you through your project via phone, video call or whatever suits.
Get a free quote
Our legally trained consultants will prepare a fixed-fee quote for you.
Accept online
Accept your fixed-fee quote and e-sign our engagement letter.
Speak with a lawyer
Our expert lawyers will talk you through your project via phone, video call or whatever suits.
We've helped over 100,000 Australian businesses
From tech startups in Sydney to restaurants in Alice Springs, we consistently deliver a 5 star service.
“Can’t speak highly enough of my experience with Sprintlaw - quality advice, fast and efficient responsiveness and a professional product.”
Alex Wickert
MD, Adapt Leadership
“I’m so glad I used Sprintlaw - it was easy, affordable and their lawyers gave top quality advice. I could tell they really cared about my business.”
Emmy Samtani
Founder, Kiindred
“They’ve helped us tremendously and are seriously knowledgeable and honest. Couldn’t recommend the crew at Sprintlaw more!”
Amit Tewari
CEO, Soul Burger
Industry leaders








































































Not sure where to start?
We can help.
Book a phone call with a legal consultant to get started.
Need help now?
1800 730 617